키시머Kirschmer식은 스크린부의 손실수두를 계산하는 데 사용한다.

이해를 돕기 위해 영문을 혼용하여 서술한다.
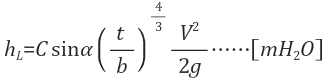
where,
$h_{L}$ = 손실수두 ($m$) ······ loss of head
$C$ = 스크린의 형상계수 (1.67~2.42의 값을 가짐) ······ screen loss coefficient
$t$ = 스크린의 두께 ($m$) ······ thickness of bars
$b$ = 스크린의 유효간격 ($m$) ······ clear spacing between bars
$V$ = 스크린 앞에서의 유속 ($m/sec$) ······ velocity of approach
$α$ = 스크린의 설치각도 (degree) ······ angle of bar inclination
'환경공학 > 수질환경공학' 카테고리의 다른 글
| 소류속도, 관류속도, 일류속도 (0) | 2016.01.09 |
|---|---|
| 미세목 스크린 Micro Screen (0) | 2016.01.08 |
| 여수(余水) Surplus Water (0) | 2015.05.16 |