
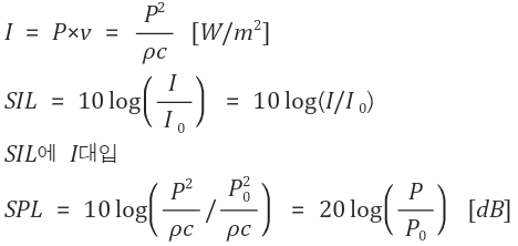
where,
I : 음의 세기(Sound Intensity)
SIL : 음의 세기 레벨(Sound Intensity Level)
SPL : 음압 레벨(Sound Pressure Level)
'환경공학 > 소음진동공학' 카테고리의 다른 글
| 양이 효과(兩耳效果) Binaural effect (0) | 2016.10.16 |
|---|---|
| 마스킹 효과, 음폐효과 Masking Effect (2) | 2016.10.16 |
| 발산파 Diverging wave (0) | 2016.10.16 |